1.特色资源化工与材料教育部重点实验室许光文教授团队在CuO吸附剂影响性能关键因素方面取得研究进展
2026年1月15日,BB贝博艾弗森官方网站特色资源化工与材料教育部重点实验室许光文教授团队为了阐明影响CuO吸附剂性能的关键因素,制备了不同CuO含量(2.5-20 wt%)的CuO/SiO2吸附剂,并评估了其在80-300°C下的H2S去除效率。所有吸附剂的H2S去除性能都明显依赖于温度:在80-180°C的低温区域,突破硫容量和CuO利用率都略有增加,在180-260°C的中温区域增加较大,在260-300°C的高温区域保持较高但几乎不变。此外,还发现在低温下,H2S的去除主要发生在CuO纳米颗粒的表层和亚表层;在中温下,在动力学控制下,主要形成CuO核/CuS壳层纳米结构;在高温下,主要是CuS分解为S,然后元素S扩散到CuO纳米颗粒的内层,并与CuO反应形成Cu2S,同时释放SO2。

图. 温度对Cu基吸附剂的硫容和CuO利用率的影响

图. Cu基吸附剂在不同温度下的脱硫途径
该研究成果以“Experimental investigation on temperature-dependent H2S removal performance of CuO/SiO2 adsorbent”为题近期发表在《Chemical Engineering Journal》杂志,贝博官网与沈阳工业大学联合培养博士生杜杰为论文第一作者,贝博官网许光文教授和张战国教授为共同通讯作者。
2.材料科学与工程学院宋立新副教授在高性能生物基材料方面取得研究进展
2026年1月22日,材料科学与工程学院宋立新副教授等在Chemical Engineering Journal上发表题为“Synergistic dual-engineering of poly (lactic acid) biodegradable plastics: Low-carbon toughening meets controlled degradation kinetics”的研究型论文。BB贝博艾弗森官方网站为该论文第一单位,材料学院硕士研究生荆莹为该论文第一作者,宋立新副教授为该论文通讯作者。
随着塑料污染问题日益严峻,可降解聚合物被认为是实现低碳与可持续材料体系的重要方向。其中,聚乳酸(PLA)因其来源可再生、生物相容性好而受到广泛关注,但其固有的脆性和韧性不足严重限制了实际应用。将聚己内酯(PCL)引入PLA体系是一种有效的增韧策略,然而由于PLA与PCL在热力学上不相容,二者易形成明显的相分离结构,界面结合力弱,导致力学性能和稳定性难以兼顾。现有相容剂虽可在一定程度上改善界面相互作用,但多数依赖石油基原料或仅发挥单一物理增塑作用,难以同时实现高效相容化、性能提升与可控降解。因此,开发一种兼具反应活性、生物基来源及多重功能的相容策略,仍是PLA/PCL复合体系面临的关键科学与工程挑战。

图. 高性能生物基复合材料结构设计及性能调控
为此,基于生物基反应型相容策略,研究开发了一种高性能的聚乳酸/聚己内酯(PLA/PCL)复合材料,该材料的相形态得到了有效地细化,微区显著变小且分布更为均匀,材料的热行为和力学性能也进一步表明界面相互作用得到增强,从而显著提高了材料的韧性和抗冲击性。同时,在保持高生物相容性的同时也促进了生物降解性,实现了可控的水解降解行为。此外,在适当的添加量范围内,复合材料的阻隔性能也得到了一定程度的提升。总体而言,本研究构建了一个综合性能均衡的生物可降解材料体系,为其在可持续包装和农业工程领域的潜在应用奠定了基础。
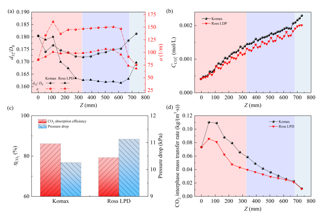
3.机械与动力工程学院禹言芳副教授在气液并流静态混合器CO₂吸收过程的数值建模及传质机理研究方面取得研究进展
2026年1月27日,机械与动力工程学院禹言芳副教授课题组在Chemical Engineering Journal发表题为“Investigation of mass transfer characteristics in CO2 absorption within high-efficiency carbon capture static mixer based on CFD and experimental methods”的研究论文。贝博官网为该论文第一完成单位,禹言芳副教授为论文第一作者,中国石油大学(华东)孟辉波教授为通讯作者。
开发高效低能耗的气液并流CO2吸收设备,是碳捕集、利用与封存(CCUS)研究中的关键技术之一。作为气液传质的关键载体,反应器的结构设计直接影响CO2的吸收效率。静态混合器因无运动部件、能实现流体高效混合且兼具低维护成本等优势,在工业碳捕集中展现出巨大潜力。然而,传统实验手段受限于测试条件,难以精准捕捉静态混合器内部的局部传质特性及多相流动力学行为。针对上述难题,禹言芳副教授课题组开展了系统研究,构建了一套耦合群体平衡模型(PBM)、双膜传质理论与化学反应动力学的三维CFD数值模型,对静态混合器中NaOH溶液化学吸收CO2的过程进行了数值模拟研究,旨在揭示复杂流场中气液两相的传质强化机制。该模型综合考虑了气泡的聚并与破碎、液相快速反应以及相间传质增强效应,并通过实验测得的CO2吸收效率及碳酸根浓度验证了模型的可靠性。
研究发现,Komax静态混合器因其独特叶片结构能诱导较为复杂涡系,使气液界面面积增大0.97%至36.01%,较Ross LPD在CO2吸收效率和压降方面均表现更优。当表观气速从0.104 m/s增至0.207 m/s时,CO2界面传质速率提升103.96%至165.01%;同时Komax较Ross LPD单位能耗降低5.27%至12.92%,CO2吸收率提高2.70%至7.36%。研究通过混沌分析识别了吸收核心区与稳定区,为高效碳捕集静态混合器的工艺设计与优化提供了重要理论指导。

图. 静态混合元件强化CO2气泡破碎及吸收传质性能